[高校数学Ⅰ] 二次関数 簡単にできる最大値・最小値の求め方 やさしく解説!
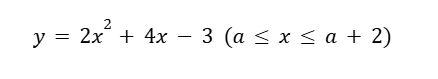
次の二次関数の最大値・最小値を求めよ。

高校の定期テストで頻出の問題ですが、なかなか解法が覚えにくい問題ですね。
実際に高校生に指導する際にも、二次関数の最大値・最小値の解法をすぐにつかめる生徒はごく稀です。
二次関数の最大値・最小値は高校数学Ⅰの中でも決定的な難所です。
今回は二次関数の最大値・最小値を簡単に求める方法の解説を行います。
このの記事で「二次関数の最大値・最小値を求める方法」を会得して、定期テストや共通テストの点数アップ、模試の偏差値アップにつなげましょう!
※この記事は、林個別指導塾が運営する学習ブログです。
二次関数の最大値・最小値 出題パターン
二次関数の最大値・最小値の問題が難しい理由として「様々なパターンがあってややこしい」ということが挙げられます。
まずはどのようなパターンがよく出題されるのかについて、一緒に整理をしていきましょう。
1. 定義域の制限がある

一般的な教科書の収録順とは異なりますが、林個別指導塾では「定義域に制限があるものをパターン1」として扱います。
このパターンを核にして、ほかの様々なパターンを身に付けると、最大値・最小値の問題が簡単に解けるようになります。
このパターン1の解法だけでも、今回必ずつかみましょう。
2. 定義域の制限がない

教科書でははじめに学ぶパターンですね。
ただ、このパターンは意外と曲者です。
これを定義域の制限がある(パターン1)の特別なパターンとしてみることができると、かなりスムーズに理解することができます。
3. 係数に文字式が入っている

多くの高校生が挫折してしまうポイント。
青チャートなどの問題集を解いていて、この問題が分からない~と言ってくる生徒がかなり多いですね。
ただ、これって考え方としてはそこまで難しくないんです。
この問題はどうして難しいんだろう?
それは文字が入っているから。
文字が入っているとどうして難しいんだろう?
それは文字がどの値を取るかによって結果が変わるから。
その変わり方に規則性はあるかな?
ありそう。
じゃあ場合分けだ!
このように考えられればあとは場合分けのテクニックを身に付けるだけ!
4. 定義域に文字式が入っている

これもパターン3と同様。
文字の値によって異なるはずだから、場合分けをして解く!
大まかに分けると二次関数の最大値・最小値が問われる問題はこれら4つに分類されます。
パターン3と4は同一視したいですが、見た目が結構違うので今回は分けています。
これら2パターンは結局一緒だ!と思えるようになればこの単元は完璧ですね!
二次関数の最大値・最小値を求める手順
上で分類したパターンについて、実際に解くための手順を見ていきましょう。
今回はパターン1、パターン2、パターン3について解説を行います。
パターン4はパターン3と同じ考え方で解けるので解説は省略。
定義域の制限があるパターン
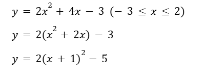
次の二次関数の最大値・最小値を求めよ。

パターン1は一つ一つ丁寧に手順を説明します。
1. 式を書く

計算ミスを防ぐために、式を1行目にきちんと書きましょう。
2. 平方完成をする

与えられた式について平方完成をします。
平方完成のやり方に不安がある方は、以下の記事で復習をしましょう。
3. グラフの概形を書く

- グラフの概形を点線で書く
- 頂点の位置、定義域の両端の位置を把握
※ここで重要なのは頂点・x定義域の位置を把握すること。
頂点のy座標が0以上か0より小さいかなどは気にせず、x軸と重ならないようにグラフの概形を書きましょう!
4. 最大値・最小値を求める


定義域を実線で結び、最大値・最小値を取る場所を確認します。
今回はx = -1 で最小値、x = 3 で最大値を取ることが、グラフから分かりますね。
それぞれの値は 与えられた式 (y = 2x² +4x – 3) に代入して求めます。

これでクリアです!
まずはこのパターンの解法手順を完ぺきにしましょう。
定義域の制限がないパターン
次の二次関数の最大値・最小値を求めよ。

定義域に制限がない問題です。
1. 式を書く

2. 平方完成をする

ここまでは先ほどと同じ。
3. グラフの概形を書く

グラフの概形を実線で書く
※今回は定義域の制限がない(すべての実数xが範囲内)なので、点線でとってから定義域の範囲を実線で結ぶ必要はありません。
4. 最大値・最小値を求める

頂点が最小値であることはグラフから見て取れますね。
では、最大値は?
今回のグラフの実践部分(定義域の範囲)は無限に上に伸びていくので、最大値は定義することができません。
今回はx = -1 で最小値、最大値はないことがグラフから分かります。
それぞれの値は 与えられた式 (y = 2x² +4x – 3) に代入して求めます。

これでクリアです!
最大値・最小値は必ずしも答えられるわけではないことを覚えておきましょう。
係数に文字式が入っているパターン
次の二次関数の最小値を求めよ。

今回は最小値のみを考えます。
ここまでの解法を思い出して、同じように解いていきます。
1. 式を書く

2. 平方完成をする

x の係数に文字が入っているため平方完成が少し難しいですが。
ここまでの手順自体は今までと同じです。
3. グラフの概形を書く
このステップが今までのパターンとだいぶ異なります。
定義域の両端 x = -3, x = 2 と 頂点のx座標である x = -a の位置関係がよくわからないですよね。
正確に言うと、aの値によって位置関係が変わる!ということです。
aの値によって位置関係が変わる場合、どうすれば解くことができるのか…
これの解決方法は、場合分けをすること!です。
定義域の両端と頂点の位置関係による場合分けを行う

(ⅰ) 2 ≦ -a のとき

(ⅱ) -3 ≦ -a < 2 のとき

(ⅲ) -a < -2 のとき
頂点がどの位置にあるかで3通りの場合分けが考えられますね。
このそれぞれについて最小値を考えます。
4. 最小値を求める
それぞれの場合について、定義域を実線で結んで最小値を考えましょう。






これでクリアです!
位置関係を確定させるために場合分けをする。
それ以外は他のパターンと同じ流れです。
解法のおさらい
定義域の制限がないパターンではいきなり実線でグラフを書いてOK。
係数・定義域に文字式が含まれている場合は、位置関係を確定させるために場合分けをして、それぞれ解く。
多少のオプションはありますが、大まかな流れが決まっていることをここでおさえておきましょう。
別の問題に見えるものも同じ解法で解く、が数学の得点アップの近道です!
練習問題
ここまでで解説した手順をしっかりと理解しているか、練習問題で確認しましょう。
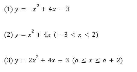
(1), (2) は最大値・最小値を、(3)は最小値をそれぞれ求めよ。

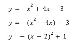
(1)の解説
この手順をしっかり守って解きましょう。
答えが分かるかなというよりは、手順をしっかり守れるかな、を意識しましょう。



グラフが上に凸になっている点が解説の問題たちとの違いですが、正しく解けましたか?
※正確にはこのグラフはx軸と共有点を持ちますが、あくまで最大値・最小値を求めるためのグラフの概形なのでこれでOK!
(2)の解説
今回は定義域の制限がありますが、x = -3, 2 は範囲外であることに注意しましょう!



今回はx = -3, 2 が定義域に含まれないパターン。
このようなときは最大値が定義できないため、最大値はなしです。
(3)の解説
定義域に文字式が含まれるパターンは場合分けですね。
- 定義域の右端で最小値を取る
- 頂点で最小値を取る
- 定義域の左端で最小値を取る
この3パターンに分ければOK!

まとめ
最大値・最小値の求め方についてひとつひとつ手順を解説しました。
高校数学全般に言えることですが、「手順を守って演習を蓄積する」ことを意識して学校課題やワークに取り組んでください。
また、各パターン全く別の解法を覚えるのではなく、基本的な流れは同じで必要に応じて部分的な処理を追加する、と理解できるように繰り返し練習をしてください。
最大値・最小値の確認テスト|この記事の理解はバッチリ?
以下のポイントが自力で説明・再現できれば、この記事はほぼマスターです!
- 平方完成のやり方は覚えている?
- 最大値・最小値を求めるための必要な手順は?
- グラフの概形はきちんと書ける?
- どうして場合分けが必要?
「ちょっと怪しいかも…」と思った箇所があれば、上に戻って再チェックしてみましょう!
高校数学に不安がある方へ
高校数学について不安がある方、共通テスト・入試に向けて学習プランを立てて取り組みたい方は、学習相談・入塾相談などお気軽にお問い合わせください。



“[高校数学Ⅰ] 二次関数 簡単にできる最大値・最小値の求め方 やさしく解説!” に対して1件のコメントがあります。
コメントは受け付けていません。