[高校数学Ⅰ] 二次関数 計算間違えをしない平方完成のやり方をやさしく解説!

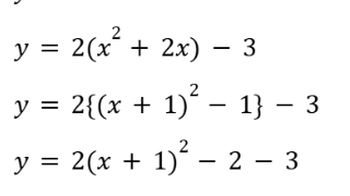
高校数学で頻出の「平方完成」をやさしく解説!平方完成とは何か、なぜ必要なのか、計算ミスを防ぐ手順まで丁寧に紹介します。グラフの頂点や最大・最小を読み取るための必須スキルをここでマスターしましょう。